Государственное бюджетное учреждение здравоохранения «Новониколаевская центральная районная больница»
ГБУЗ Новониколаевская ЦРБ
Профилактический медицинский осмотр
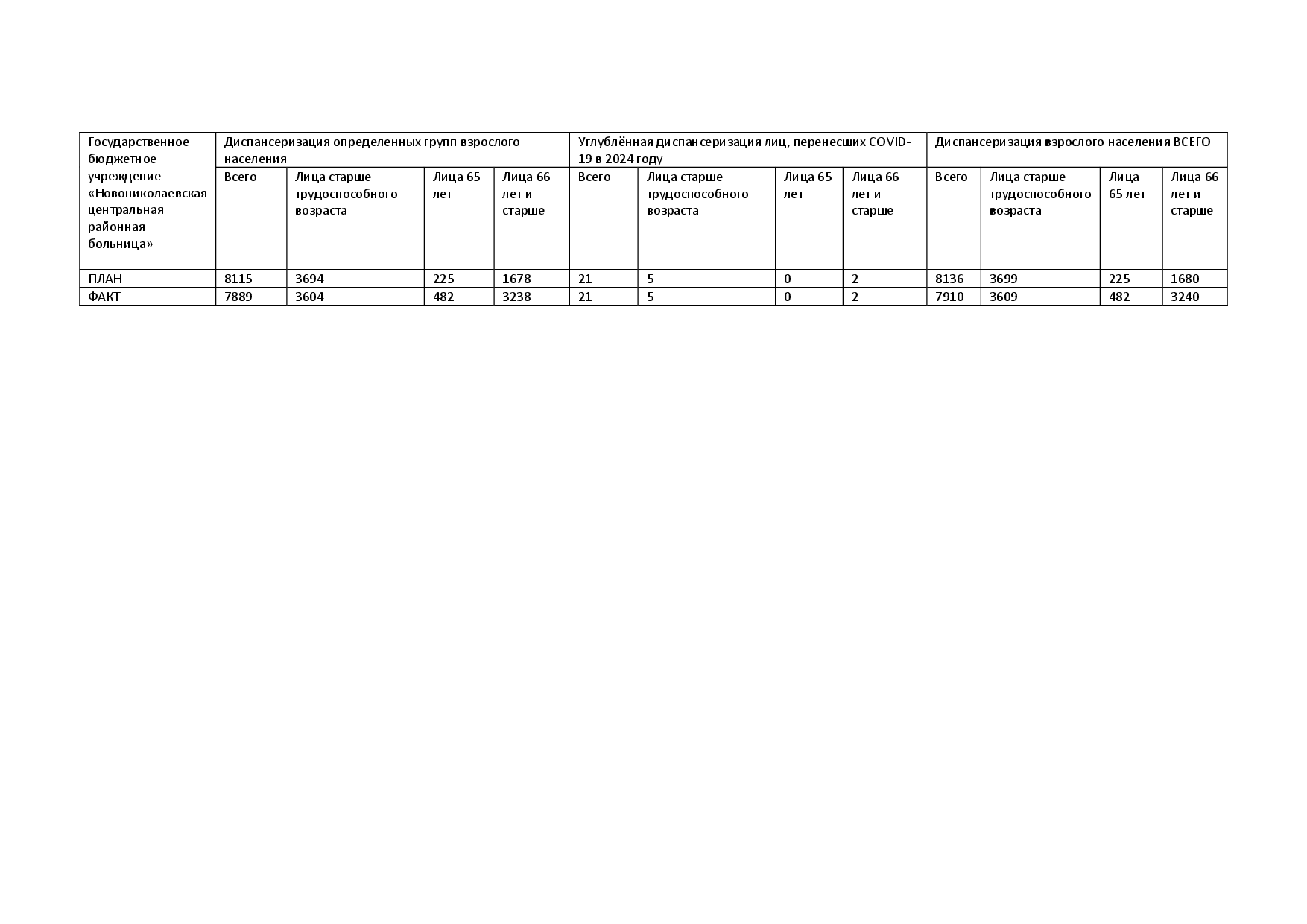
Диспансеризация взрослого населения
Углубленная диспансеризация для граждан, перенесших новую коронавирусную инфекцию
Диспансеризация 2026г.
Диспансеризация определенных групп взрослого населения